词法分析
词法分析器的作用
读入字符流, 组成词素, 输出词法单元序列.
将词素添加到 符号表 中
过滤空白, 换行, 制表符, 注释等
简化编译器的设计
模块化设计, 增强编译器的可移植性
词法单元, 模式, 词素
词法单元(Token)
<词法单元名, 属性值>
词法单元名是表示词法单位种类的抽象符号, 语法分析器通过单元名即可确定词法单元序列的结构
属性值通常用于语义分析之后的阶段
eg: <if, ->, <id, "counter">, <num, 100>
属性
一个模式匹配多个词素时, 必须通过属性来传递附加的信息
属性值将被用于语义分析, 代码生成等
不同的目的需要不同的属性
属性值通常是一个结构化数据
如词法单元id的属性: id内容, 类型, 第一次出现的位置...
词法错误
词法分析器本身很难发现源代码的错误, 如fi(true)无法判断fi是if写错了, 还是有fi这个函数.
词法分析器会返回id词法单元给语法分析器处理.
当所有模式都无法和剩余输入的某个前缀匹配时:
- 词法分析器不能继续处理输入
- 错误恢复策略
- 从剩余的输入中删除一个字符
- 向生育的输入中插入一个遗漏的字符
- 用一个字符来替换另一个字符
- 交换两个相邻的字符
模式(Pattern)
描述了一类词法单元的词素可能具有的形式
词素(Lexeme)
源程序中的字符序列
它和某个词法单元的模式匹配, 被词法分析器识别为该词法单元的实例
eg:
printf("Total = %d\n", score);- printf和score与标识符id的模式匹配
- "Total = %d\n"与literal的模式匹配
| 词法单元 | 非正式描述 | 词素示例 |
|---|---|---|
| if | 字符i,f | if |
| comparison | <或>,<=,=>,==,!= | <=,!= |
| id | 字母开头的字母/数字串 | Pi,score,D2 |
| number | 任何数字常量 | 123 |
| literal | 在两个"之间,除"以外的任何字符 | "Hello, World!\n" |
词法单元的规约(正则表达式)
正则表达式可以高校简洁地描述处理词法单元时用到的模式类型
串和语言
字母表: 一个有穷的符号集合
- eg: 字母, 数字, 标点符号
- {0, 1}, Unicode
- 理论上, 任意的有限集合都可以看作是字母表
字母表上的串(string)是该表中符号的有穷序列
- 串s的长度是指s中符号出现的次数
- 空串ε的长度为0
语言是某个给定字母表上的串的可数集合
前缀: 从串的尾部删除任意个符号后得到的串
后缀: 从串的开始处删除任意个符号后得到的串
子串: 删除串中的某个前缀和某个后缀后得到的串
真前缀/真后缀/真字串: 不等于原串或空串的前缀/后缀/子串
子序列: 从串中删除任意个符号后得到的串
串的运算
- 连接: x和y的连接是把y附加到x的后面, 记作xy.
x=dog, y=house, 则xy=doghouse
- 指数运算: x^n表示n个x连接在一起, x^0=ε
x=ha, 则x^3=hahaha
语言的运算
- 并:
- 连接:
- 克林闭包:
- 正闭包:
- 并:

正则表达式
将
eg:
定义
字母表Σ上的正则表达式的定义
- L(r)表示正则表达式r所表示的语言
- 基本部分
- ε是正则表达式, L(ε)={ε}
- 如果a是Σ中的一个符号, 则a是正则表达式, L(a)={a}
- 归纳步骤
- 选择: (r)|(s), L((r)|(s))=L(r) ∪ L(s)
- 连接: (r)(s), L((r)(s))=L(r)L(s)
- 闭包:
- 括号: (r), L((r))=L(r)
- 运算优先级: * > 连接 > |
- 正则语言: 可以用一个正则表达式定义的语言
eg:
正则定义
为了方便书写, 可以给正则表达式命名, 形成正则定义.
正则定义是如下形式的定义序列
d_1 -> r_1
d_2 -> r_2
...
d_n -> r_n其中,
- 其中, d_i不在
中且各不相同. - 每个r_i是字母表
上的正则表达式, 这保证了不会出现递归定义
eg:
在C语言中:
letter -> A | B | ... | Z | a | b | ... | z | _
digit -> 0 | 1 | ... | 9
id -> letter (letter | digit)*扩展
- 基本运算符: 选择, 连接, 闭包
- 扩展运算符
- 一个或多个实例: 单目后缀+
- r+ = rr*
- 零个或一个实例: 单目后缀?
- r? = (r | ε)
- 字符类
等价于 等价于
- 一个或多个实例: 单目后缀+
使正则表达式更简洁, 对描述能力无影响
正则表达式与词法单元的识别
正则表达式可以用来描述词法单元的模式, 首先通过正则定义来描述各种词法单元的模式.
eg: C语言中的标识符
letter -> A | B | ... | Z | a | b | ... | z | _
digit -> 0 | 1 | ... | 9
id -> letter (letter | digit)*当词法分析器识别到某种模式时, 不返回词法单元, 继续识别其它模式
eg:

词法单元的识别(状态转换图)
状态转换图(Transition Diagram)
词法分析器的重要组件之一
- 点[状态(state)]: 表示在识别词素时可能出现的情况
- 状态看作是已处理部分的总结[lexicalBegin指针和forward指针之间的内容]
- 某些状态为接受状态或最终状态, 表示已经识别出一个词素
- 开始状态(初始状态): 用Start边表示
- 边[转换(Transition)]: 从一个状态指向另一个状态
- 边的标号是一个或多个符号
- 当前状态为s, 下一个输入符号为a, 就沿着从s离开, 标号为a的边到达下一个状态
eg:

保留字与标识符的识别
保留字一般也符合标识符的模式, 比如if符合变量的标识符模式letter(letter | digit)*.
解决办法:
- 在符号表中先填保留字, 并表明它们不是普通标识符
- 为保留字建立独立的, 高优先级的状态转换图
从转换图构造词法分析器
构造词法分析器的一般步骤:
变量state记录当前状态
一个switch根据state转到相应的代码
每个状态对应一段代码:
- 这段代码根据读入的符号, 确定下一个状态
- 如果找不到相应的边, 则调用fail()进行错误恢复
进入某个接受状态时, 返回相应的词法单元
- 如果状态有*标记, 需要回退forward指针
本质是一个状态机的实现
eg:
Token getRelop() {
TOKEN retToken = new(RELOP);
while (1) {
switch (state) {
case 0:
c = nextChar();
switch (c) {
case '<':
state = 1;
break;
case '>':
state = 6;
break;
case '=':
state = 5;
break;
default:
fail();
}
break;
case 1:
// ...
case 8:
retract(); // *, 回退一个字符
retToken.attribute = GT;
return retToken;
}
}
}词法分析器生成工具及设计
词法分析工具Lex/Flex
Lex/Flex是Unix系统下的词法分析器生成工具,
- 支持用regexp描述词法单元的模式, 给出一个词法分析器的规约
- 输入表示: Lex语言
- 工具本身: 是一个编译器, 将Lex语言的规约翻译成C代码
- 核心: 将输入的模式 -> 状态转换图, 并生成代码
通常和YACC/Bison一起使用, 生成编译器的前端
Lex源程序的结构
- 声明部分
- 常量: 表示常数的标识符
- 正则定义
- 转换规则
- 模式
- 模式是正则表达式
- 动作表示识别到相应模式时应采取的处理方式
- 处理方式通常是用C语言代码表示
- 模式
- 辅助函数
- 各个动作中使用的函数
声明部分
%%
转换规则
%%
辅助函数eg
%{
#include "token.h"
%}
digit [0-9]
letter [A-Za-z]
id {letter}({letter}|{digit})**
%%
"if" { return newToken(IF); }
"else" { return newToken(ELSE); }
{ id } { return newIdToken(IDENTIFIER, yytext); }
{ digit }+ { return newNumToken(NUMBER, atoi(yytext)); }
[ \t\n] { /* 忽略空白符 */ }
. { printf("未知符号: %s\n", yytext); }
%%
int yywrap() {
return 1;
}
// ...%{和}%之间的内容一般会被直接复制到生成的lex.yy.c中. 辅助函数也会被复制到lex.yy.c中.

Lex中冲突解决方法
冲突: 多个输入前缀与某个模式相匹配, 或者一个前缀与多个模式匹配
方法:
- 多个前缀可能匹配时, 选择最长的前缀
eg
输入:
<=模式:<和<=选择<=
- 一个前缀和多个模式匹配时, 选择列在前面的模式
eg
输入:
if模式:if和标识符id 选择if
有穷自动机
本质上和状态转换图相同, 但有穷自动机只回答Yes/No问题: 输入串是否属于某个语言
分为两类
- 不确定的有穷自动机(Nondeterministic Finite Automaton, NFA): 边上的标号没有限制, 一个符号可出现在离开同一个众泰的多条边上, ε可以做标号
- 确定的有穷自动机(Deterministic Finite Automaton, DFA): 对于每个状态以及每个符号, 有且仅有一条边(或者最多只有一条边)
两种自动机都识别正则语言, 每个可以用正则表达式描述的语言都可以用NFA或者DFA识别
识别: 判定一个串是否属于对应正则语言(Yes/No)
不确定的有穷自动机
NFA:
- 一个有穷的状态集合S
- 一个输入符号字母表
(input alphabet) - 转换函数(Transition function)对于每个状态和
中的符号, 给出相应的后续状态集合 - S中的某个状态
被指定为开始状态/初始状态(有些定义中可以有多个开始状态) - S的一个子集F被指定为接受状态集合
eg
- 状态集合: S={0, 1, 2, 3}
- 输入字母表:
={a, b} - 开始状态: s0=0
- 接受状态集合: F={3}
- 转换函数:
- δ(0, a)={0, 1}
- δ(0, b)={0}
- δ(1, a)={2}
- δ(2, b)={3}

转换表表示法
可以用二维表表示NFA的转换函数
- 每行对应一个状态
- 每列对于于一个输入符号或ε
- 每个条目表示对应的后继状态集合
| State | a | b | ε |
|---|---|---|---|
| 0 | {0, 1} | {0} | {} |
| 1 | {2} | {} | {} |
| 2 | {} | {3} | {} |
| 3 | {} | {} | {} |
输入字符串的接受
输入字符串x
- iff对应的转换图中存在一条从开始状态到某个接受状态的路径, 且该路径各条边上的标号按顺序组成x(不含ε)
NFA接受的语言: 从开始状态到达接受状态的所有可能路径的标号串的集合
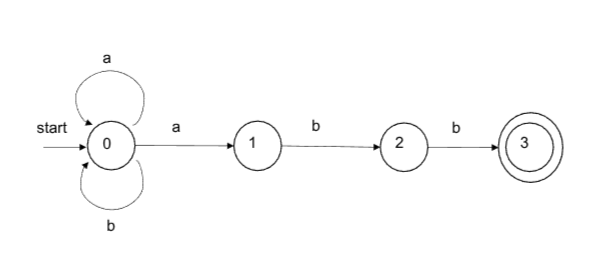
L((a|b)+abb) eg:
- 输入字符串
abb- 存在路径0 --a--> 1 --b--> 2 --b--> 3
- 因为存在一条路径到达接受状态3, 所以NFA接受字符串
abb
从正则表达式到自动机
- 正则表达式: 简介精确地描述词法单元的模式
- 自动机: 便于机器执行的计算模型
- NFA: 易于从正则表达式转换(3跳转)
- DFA: 可由NFA转换, 便于机器高效模拟执行
- DFA最小化, 优化空间使用率
正则表达式 -> NFA -> DFA
正则表达式 -> NFA
基本思想
- 根据正则表达式的递归定义, 安装正则表达式的结构递归地构造出相应的NFA
- 算法分成两个部分
- 基本规则处理
和单个符号的情况 - 对于每个正则表达式的运算, 建立组合相应NFA的方法
- 基本规则处理
转换算法 1.
- 基本规则
- r=ε

- r=a, a∈

归纳部分
r=s|t

- r=st

- r=s*

eg:
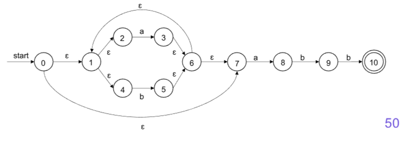
L((a|b)*abb)
拆解+合并
- 第一个a对应的NFA

- 第一个b对应的NFA

- (a|b)对应的NFA

- (a|b)*对应的NFA

- (a|b)*abb对应的NFA

确定的有穷自动机
NFA的不确定性导致它不易模拟
- 维护多个状态
- 跟踪多条路径
一个NFA被称为DFA, 如果
- 没有标号ε的转换
- 对于每个状态s和每个输入符号a, 有且仅有一条标号为a的离开s的边
每个NFA都有一个等价的DFA
DFA的模拟运行
s = s0;
c = nextChar();
while (c != eof) {
s = move(s, c);
c = nextChar();
}
if (s在F中) return "Yes";
else return "No";move给出了离开状态s且标号为c的边的目标状态
先前的例子改造成DFA长这样

从NFA到DFA
子集构造法
基本思想
- 构造得到的DFA的每个状态和NFA的状态子集对应
- DFA读入
后到达的状态对应于NFA开始状态出发验证 可能到达的状态集合 - 在算法中"并行地模拟"NFA在遇到一个给定输入串时可能执行的所有动作
- 目标DFA每个状态对应一个NFA状态集合
- 目标DFA状态之间的转换对应NFA状态集合之间的转换
- 理论上, 最坏情况下DFA的状态个数是NFA状态个数的指数多个(
)
但大部分应用, NFA和相应DFA的状态数量大致相同
- 算法中使用到的基本操作
- ε-closure(s): 从NFA状态s开始, 只通过ε转换能到达的NFA状态集合
- ε-closure(T): 枚举T中所有状态, 从T中某个状态s开始, 只通过ε转换能到达的NFA状态集合
- move(T, a): 枚举T中所有状态, 从T中某个状态s出发, 通过一个标号为a的转换能到达的NFA状态集合
ε-closure(T)算法: 图搜索过程
// 将T的所有状态压入stack中
// 将e-closure(T)初始化为T
while (!stack.empty()) {
t = stack.pop();
for (每个满足如下条件的u: 从t出发有一个标号为ε的转换到达状态u) {
if (u不在ε-closure(T)中) {
将u加入到ε-closure(T)中
将u压入栈中
}
}
}ε-closure(s0)算法
: DFA状态, 每个元素对应一个NFA状态集合 : DFA状态转移表
// 一开始, ε-closure(s0)是Dstates中的唯一状态, 且它未加标记
// 加标记=visited
while (在Dstates中有一个未标记状态T) {
给T加上标记;
for (每个输入符号a) {
U = ε-closure(move(T, a));
if (U不在Dstates中) {
将U加入到Dstates中, 且不加标记;
}
Dtran[T, a] = U;
}
}eg:
对于之前的L((a|b)*abb)
- 初始化DFA
找出开始状态能通过ε转换到达的所有状态 S0 = ε-closure(0) = {0, 1, 2, 4, 7}
- 逐个输入符号 对S0, 输入a:
// move(T, a): 遍历T中所有状态, 找出通过a转换能到达的状态集合 move(S0, a) = {3, 8} // 2 --a->3, 7 --a->8
S1 = ε-closure(move(S0, a)) = {1, 2, 3, 4, 6, 7, 8} // 3和8经过0个ε转换到达自身
对S0, 输入b:
move(S0, b) = {5}
S2 = ε-closure(move(S0, b)) = {1, 2, 4, 5, 6, 7}
- 重复上述过程, 直到没有未标记状态
对S1, 输入a:
move(S1, a) = {3, 8} // 重复
对S1, 输入b:
move(S1, b) = {5, 9}
S4 = ε-closure(move(S1, b)) = {1, 2, 4, 5, 6, 7, 9}
对S2, 输入a:
move(S2, a) = {3, 8} // 重复
对S2, 输入b:
move(S2, b) = {5} // 重复
对S4, 输入a:
move(S4, a) = {3, 8} // 重复
对S4, 输入b:
move(S4, b) = {5, 10}
S5 = ε-closure(move(S4, b)) = {1, 2, 4, 5, 6, 7, 10}
对S5, 输入a:
move(S5, a) = {3, 8} // 重复
对S5, 输入b:
move(S5, b) = {5} // 重复
因此最终DFA状态集合为:
- S0 = {0, 1, 2, 4, 7}
- S1 = {1, 2, 3, 4, 6, 7, 8}
- S2 = {1, 2, 4, 5, 6, 7}
- S4 = {1, 2, 4, 5, 6, 7, 9}
- S5 = {1, 2, 4, 5, 6, 7, 10}
转换表为:
| NFA状态 | DFA状态 | a | b |
|---|---|---|---|
| 0,1,2,4,7 | S0 | S1 | S2 |
| 1,2,3,4,6,7,8 | S1 | S1 | S4 |
| 1,2,4,5,6,7 | S2 | S1 | S2 |
| 1,2,4,5,6,7,9 | S4 | S1 | S5 |
| 1,2,4,5,6,7,10 | S5 | S1 | S2 |
画DFA图只需要关注DFA状态和输入a和b的情况

DFA状态数量最小化
DFA状态越少, 空间效率越高. 通过DFA的最小化可以得到状态数量最少的DFA(不计同构, 这样的DFA是唯一的)
- 可区分: 如果存在串x, 使得从状态s1和s2, 一个到达接受状态而另一个到达非接受状态, 那么x就区分了s1和s2.
如果存在某个串区分了s和t, 那么s和t是可区分的, 否则是不可区分的.
不可区分的两个状态就是等价的, 可以合并.
最小化算法(基本思想)
- 把所有可区分状态分开(迭代过程)
- 基本步骤: ε区分了接受状态和非接受状态
- 归纳步骤: 如果状态s和t是可区分的, 且s'到s, t'到t有标号为a的边, 那么s'和t'也是可区分的
- 最终没有区分开的状态就是等价的
- 所有的死状态都是等价的
- 从划分的等价类中选取代表, 重建DFA
划分部分
- 设置初始划分
- 迭代, 枚举字母表, 不断划分等价类
for (Π中的每个元素G) {
细分G, 使得G中的两个状态s和t在同一小组中iff对所有的输入符号a都到达Π中的同一组;
Πnew = 将Π中的G替换为细分得到的小组;
}- 如果
, 令 , 否则令 , 重复步骤2
在
- 开始状态就是包含原开始状态的组的代表
- 接受状态就是包含原接受状态的组的代码(这个组一定只包含接受状态)
转换关系构造如下
如果s是G的代表, 而原DFA中s在a上的转换到达t, 且t所在组的代表为r, 那么最小化DFA中有从s到r的在a上的转换
eg:
对于之前的DFA: {A, B, C, D, E} // S0, S1, S2, S3, S4
- 初始划分
得到{{A, B, C, D}, {E}}
把接受状态分开
- 处理{A, B, C, D}
输入a:
- A, B, C, D都到达B
同组不分
输入b:
- A到达C
- B到达D
- C到达C
- D到达E
D到达了接受状态, 分组
得到{{A, B, C}, {D}, {E}}
- 处理{A, B, C}
输入a:
- A到达B
- B到达B
- C到达B
同组不分
输入b:
- A到达C
- B到达D
- C到达C
D不在{A, B, C}内, 分组
得到{{A, C}, {B}, {D}, {E}}
- 处理{A, C}
输入a:
- A到达B
- C到达B
同组
输入b:
- A到达C
- C到达C
同组
最终划分为{{A, C}, {B}, {D}, {E}}
选取A, B, D, E作为代表
| 状态 | a | b |
|---|---|---|
| A | B | A |
| B | B | D |
| D | B | E |
| E | B | A |
重建DFA:

自动机到词法分析器
- 正则表达式: 识别单个模式
- 词法分析器: 识别多种模式
关键字, 运算符, 标识符, 数字...
NFA合并方法:
- 引入新的开始状态, 并引入从该开始状态到各个原开始状态的ε转换
- 得到的NFA所接受的语言是原来各个NFA语言的并集
- 不同的接受状态代表不同的模式
对得到的NFA进行确定话, 得到DFA
一个DFA的接受状态对应于NFA的状态子集, 其中至少包括一个NFA的接受状态.
- 如果其中包括多个对应不同模式的NFA接受状态, 则表示当前的输入前缀对应于多个模式, 存在冲突
- 需要找出第一个这样的模式, 将该模式作为此DFA接受状态的输出
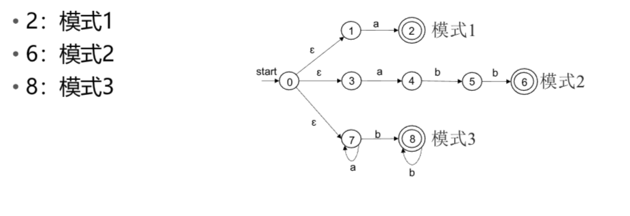
eg:
假设有三个模式
- 模式1: a
- 模式2: abb
- 模式3: a*b+
- 构造各模式的NFA

- 合并NFA

- 确定化

abb和a*b+都在状态68接受了.
词法分析器状态的最小化
基本思想与DFA最小化算法相同
差异
- 词法分析器中的接受状态对应于不同的模式
- 对应不同模式的接受状态不一定是等价的
- 初始划分为
- 所有非接受状态集合+对应各模式的接受状态集合
- 其余划分和构造的方法均相同
- 接受状态对应的模式就是原来的模式
eg:
